Муниципальное Бюджетное общеобразовательное учреждение "Средняя общеобразовательная школа им. С. Лорсанова с. Шаами-Юрт"
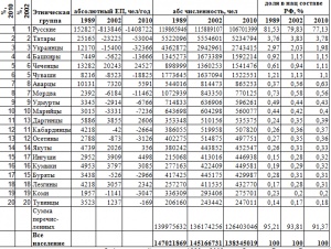
Национальный состав РФ на 2017 год.